Просмотры:8 Автор:Pедактор сайта Время публикации: 2024-08-09 Происхождение:Работает
Оптимальная конструкция радиаторов, особенно для устройств с высокими тепловыми нагрузками, таких как MOSFET и IGBT, имеет решающее значение для эффективной работы этих устройств и предотвращения преждевременного выхода из строя компонентов.Для этого требуется сочетание вентиляторов и радиаторов, чтобы обеспечить адекватное охлаждение мощных устройств, рассеивающих большое количество тепла.
Вэньсюань Термал Energy обладает профессиональными возможностями настройки и разнообразными рынками приложений, а также может настроить охлаждающая продукция для различных систем для клиентов.
Как показано на рисунке 1, кожух или воздуховод часто используется для направления воздушного потока вентилятора в радиатор, чтобы предотвратить поток воздуха вокруг радиатора, тем самым снижая эффективную охлаждающую способность вентилятора и радиатор комбинация.
Рис. 1. Конструкция радиатора и вентилятора без байпаса.
Оптимальное расстояние между радиаторами и результирующее тепловое сопротивление для комбинации вентилятор/радиатор, показанной на рисунке 1, можно рассчитать напрямую, используя несколько формул, чтобы быстро оценить необходимый размер радиатора.
Однако невозможно оптимизировать расстояние между ребрами радиатора, предполагая постоянный расход или объемный расход.Скорость воздушного потока между ребрами определяется расстоянием между ребрами и их количеством с использованием уравнения 1. Эта формула утверждает, что объемный расход воздуха, приближающийся к радиатору, такой же, как объемный расход воздуха, проходящего через радиатор, поскольку вокруг радиатора нет обходного потока. радиатор.
Рис. 2. Размеры ребер воздушного охлаждения.

Vf:Скорость воздуха между ребрами
V:Объемный расход в радиаторе
Hf=Hb:высота плавника
S: расстояние между ребрами
Nf:количество плавников
Чем меньше расстояние между ребрами s, тем выше скорость воздуха Vf между плавниками.Чем выше скорость воздушного потока, тем лучше охлаждающий эффект радиатора.Если вы хотите оптимизировать размер радиатора, расстояние между ребрами должно быть небольшим, поскольку скорость воздушного потока будет увеличиваться по мере уменьшения расстояния между ребрами, а также увеличится эффект охлаждения.На практике поток воздуха обеспечивается вентиляторами или нагнетателями.Скорость потока не является постоянной и ограничивается увеличением падения давления на радиаторе по мере увеличения расстояния между радиаторами. s уменьшается.
Чтобы упростить анализ и избежать существенных ошибок в расчетах, примем следующие допущения:
а.Площадь поверхности, обусловленная толщиной ребер t и толщина основания b значительно меньше общей площади поверхности радиатора.
б.Источник тепла имеет ту же длину и ширину, что и радиатор, и расположен в центре основания радиатора.
в.Источник тепла и основание радиатора полностью соприкасаются с вентилятором.
д.Весь поток воздуха проходит через радиатор.
е.По сравнению с конвекцией радиационная теплопередача невелика и ею можно пренебречь.
ф.Поток воздуха через радиатор ламинарный и равномерный.Толщина радиатора мала по сравнению с расстоянием s между радиаторами.
Предполагая, что ламинарный поток воздуха через радиатор работает для большинства коммерческих комбинаций радиатор/вентилятор.В электронике шум вентилятора является основным фактором, поэтому скорость вентилятора намеренно снижается, чтобы избежать значительного шума при переходе от ламинарного потока к турбулентному.
Первым шагом при проектировании радиатора является определение рабочей точки комбинации вентилятора и радиатора.Когда с радиатором используется вентилятор или воздуходувка, производительность вентилятора будет зависеть от конструкции радиатора.
Как показано на рисунке 3, каждый вентилятор имеет уникальную кривую давления/расхода, где скорость потока обратно пропорциональна перепаду давления на вентиляторе.Радиаторы также имеют кривую давления/расхода, пропорциональную перепаду давления на радиаторе, как показано на рисунке 3. Поток через комбинацию вентилятор/радиатор представляет собой пересечение кривых давления/расход вентилятора и радиатора.

Рисунок 3. Кривые зависимости давления вентилятора и радиатора от расхода.
Кривые вентилятора обычно предоставляются производителем вентилятора и обычно крайне нелинейны.Во многих случаях единственные данные о производительности вентилятора, которые они предоставляют, — это максимальный расход и максимальное падение давления.Чтобы упростить расчеты расхода и учесть ситуации, когда предусмотрены только максимальный расход и максимальное падение давления, простая линейная аппроксимация кривой вентилятора может быть выражена в уравнении 2. В большинстве случаев эта линейная аппроксимация кривой вентилятора обеспечивает разумную оценку кривая производительности вентилятора.
ΔПМакс:Максимальное падение давления вентилятора
VМакс: максимальный объемный расход вентилятора
В случае использования нескольких вентиляторов рядом (параллельно) максимальная скорость потока VМакс вентилятора — это максимальная скорость потока одного вентилятора, умноженная на количество вентиляторов.
Падение напряжения на радиаторе показано в уравнении 3:
Плотность воздуха ρ рассчитывается по температуре окружающего воздуха.
Гидравлический диаметр Dh канала между ребрами можно аппроксимировать как 2 с.Переменные Kc и Ke – коэффициенты потери давления из-за сжатия и расширения воздушного потока, входящего и выходящего из радиатора, соответственно.Формулы для этих коэффициентов потери давления являются функцией лобовой площади. σ=s/(s + t) и основаны на схеме, представленной в ссылке 1.
Коэффициент кажущегося трения fapp основан на модели, разработанной в [2]:

, – число Рейнольдса, где ν – кинематическая вязкость.
Член в уравнении 6 учитывает коэффициент трения, возникающий в результате полностью развитого потока между ребрами радиатора.Полностью развитый поток возникает в очень длинных каналах или в медленных потоках, где профиль скорости потока остается постоянным.

Чтобы определить рабочую точку вентилятора/радиатора (т. е. пересечение кривых давления/расхода вентилятора и радиатора), уравнения 2 и 3 уравниваются и неизвестная переменная определен.

Рассчитать расстояние между ребрами Sвыбрать что обеспечивает максимальную теплопередачу по уравнению 9, где μ и α – вязкость и температуропроводность воздуха соответственно.Эта формула была предложена Бежаном и др.в исх.3.
Оптимальное расстояние между ребрами Sвыбрать является функцией падения давления вентилятора ΔПвентилятор и падение давления на радиаторе ΔПхз.Давление всей системы определяет картину расхода через радиатор, и именно этот расход влияет на скорость теплоотдачи радиатора.
Подставьте уравнение 9 для расстояния между ребрами. s в уравнении 8 и определим картину течения системы путем решения полученного уравнения.
Пожалуйста, нОбратите внимание, что, хотя уравнение 8 решает ΔПвентилятор и ΔПхз равно, только уравнение 2 ΔПвентилятор следует использовать при определении расхода в уравнении 9. ΔПхз в уравнении 3 зависит от расстояния между ребрами s, поэтому используя ΔПхз В уравнении 9 найти скорость потока математически сложно.
4.Рассчитать тепловое сопротивление радиатора
Из решения уравнения 8 мы знаем картину течения и скорость потока. Vf через радиатор, и мы можем определить скорость теплопередачи и термическое сопротивление радиатора.
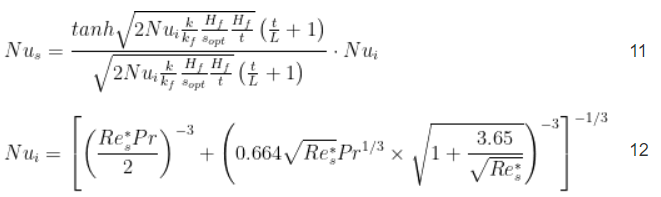
Рассчитайте средний коэффициент теплопередачи hf радиатора, используя уравнения 10, 11, 12, 13 и 14 в ссылке 4.
где k – теплопроводность воздуха.

Pr — число Прандтля воздуха, в типичном диапазоне рабочих температур радиаторов, используемых в электронном охлаждении, можно использовать значение 0,71.

Следовательно, общее термическое сопротивление Rхз радиатора составляет:

Площадь смачиваемой поверхности радиатора, Aхз, — площадь контакта с воздухом, проходящим через радиатор.
Первый член в уравнении 15 — это тепловое сопротивление радиатора, а член после знака плюс — тепловое сопротивление у основания радиатора.
Для диверсифицированных радиаторs, Wenxuan Thermal Energy обладает профессиональными возможностями настройки и разнообразными рынками приложений, а также может настроить охлаждающие продукты для различных систем для клиентов. В это время, мы будем брать многие факторы в учетную запись при проектировании радиатора и продолжать оптимизировать и совершенствовать конструкцию радиатора.Если у вас есть другие вопросы о радиаторы или вам нужно решение для охлаждения, подходящее для вашего бизнеса, оставьте комментарий или свяжитесь с Wenxuan по электронной почте.